„ ის მაინც ბრუნავს! მაინც ბრუნავს! ბრუნავს, ტიალი!
არ მოგვეშალოს ჩვენც ეს ბრუნვა და ხეტიალი…“.
მიხეილ ქვლივიძე
ფრაზა – „ის მაინც ბრუნავს“, საზოგადოებისთვის ცნობილია, როგორც თავისუფალი აზრისა და მეცნიერული პროგრესის სიმბოლო. სამყაროს შეცნობა ხომ მუდმივ ძიებასთან და გაბედულ მოსაზრებებთან არის დაკავშირებული. კაცობრიობა დასაბამიდან ეძიებს სწორ პასუხს კითხვაზე – სად არის სამყაროს ცენტრი?
წინამდებარე სტატიაში ვისაუბრებ, როგორ იცვლებოდა ადამიანის ცნობიერება და შესაბამისი შეხედულებები სამყაროს მოწყობაზე. გეოცენტრული წარმოდგენებიდან – არისტაქეს, კოპერნიკისა და გალილეის მოსაზრებებამდე, ჯორდანო ბრუნოს გამბედავ იდეებამდე და კოსმოსის სტრუქტურის თანამედროვე ხედვამდე; როგორ ჩამოყალიბდა ადამიანის თვალსაზრისი და რას ფიქრობს დღეს მეცნიერება ყველაზე მთავარ კითხვაზე – როგორია სამყაროს სტრუქტურა?
დღეს, როდესაც ინფორმაციის ზღვაში ვართ ჩაძირულნი, მედიაწიგნიერებას უდიდესი მნიშვნელობა ენიჭება. ის გვეხმარება, კრიტიკულად შევაფასოთ ინფორმაციის სხვადასხვა წყარო, განვასხვაოთ ფაქტი და მოსაზრება, ამოვიცნოთ მიზანმიმართული დეზინფორმაცია, არადამაჯერებელი თეორიები; მაგალითად, დედამიწა თითქოს ბრტყელია – კვლავაც პოულობს მომხრეებს გარკვეულ ჯგუფებში, რაც ნათლად აჩვენებს, რომ სასიცოცხლოდ მნიშვნელოვანია ფაქტების გადამოწმება და კრიტიკული აზროვნების უნარების განვითარება. საჭიროა საგანმანათლებლო დატვირთვის მქონე მრავალი სტატია, რომელიც წაახალისებს მკითხველს, იაზროვნოს დამოუკიდებლად და არ მიიღოს ნებისმიერი ინფორმაცია უპირობო ჭეშმარიტებად.
სად არის სამყაროს ცენტრი? – ადამიანი ყოველთვის ცდილობდა გაეგო, სად არის მისი ადგილი სამყაროში. სამყაროს ცენტრის ძიება ყოველთვის უკავშირდებოდა ადამიანის მსოფლმხედველობას, კულტურასა და რწმენას. ძველ ბაბილონში, საბერძნეთში თუ შუა საუკუნეების ევროპაში, ცაზე დაკვირვება არა მხოლოდ ბუნების საიდუმლოების ახსნას ემსახურებოდა, არამედ, ადამიანს თავისი არსებობის აზრზეც აფიქრებდა. სამყაროს ცენტრის პოვნა გულისხმობდა საკუთარი ადგილის გამორკვევასაც.
ადამიანები საუკუნეების განმავლობაში ქმნიდნენ საკუთარი ხედვის შესაბამის მოდელებს. პირველი იყო გეოცენტრული წარმოდგენა – დედამიწა, როგორც კოსმოსის შეუვალი და მტკიცე ცენტრი. შემდეგ გაჩნდა ჰელიოცენტრიზმის იდეა, რომელმაც სრულად შეცვალა მოსაზრება სამყაროს მოწყობაზე – მზე, როგორც სინათლისა და სიცოცხლის წყარო, აღმოჩნდა შუაგულში.
კაცობრიობის ისტორიაში სამყაროს ცენტრის კვლევა ცოდნისა და სიმართლის ძიების სიმბოლოდ გადაიქცა. ის მხოლოდ ასტრონომიის საკითხი არ ყოფილა – იყო ადამიანის სწრაფვა, ეპოვა საკუთარი ადგილი უსასრულობაში.
გეოცენტრული წარმოდგენა
ადამიანი საუკუნეების განმავლობაში ფიქრობდა, რომ დედამიწა წარმოადგენს სამყაროს ცენტრს. როცა ცას ვუყურებთ, თითქოს ბუნებრივად გვიჩნდება განცდა, რომ ყველაფერი ჩვენ გარშემო ტრიალებს – მზე ამოდის და ჩადის, მთვარე პერიოდულად იცვლის ადგილსა და ფორმას, ღამის ცაზე ვხედავთ ვარსკვლავთა მოძრაობას. ლოგიკური იყო პირველი მოსაზრება, რომ დედამიწა არის სამყაროს შუაგულში, ხოლო ყველაფერი დანარჩენი მის გარშემო ბრუნავს. ეს წარმოდგენა საუკუნეების განმავლობაში იყო ყველაზე ლოგიკური ახსნა, რომელიც შეესაბამებოდა ყოველდღიურ გამოცდილებას.
მე-16 საუკუნემდე ადამიანები ცნობდნენ გეოცენტრულ მოდელს, რომლის თანახმადაც დედამიწაა ცენტრი, რომლის გარშემოც უნდა ყოფილიყო განხილული კოსმოსში მიმდინარე პროცესები. ამ მოდელის ფუძემდებელი გახლდათ მეორე საუკუნეში მოღვაწე ბერძნული წარმოშობის ეგვიპტელი ასტრონომი, მათემატიკოსი და გეოგრაფი პტოლემე ალექსანდრიელი.
პტოლემემ შექმნა დეტალურად ჩამოყალიბებული ასტრონომიული სისტემა, რომელიც აღწერდა არა მხოლოდ მზისა და მთვარის მოძრაობას, არამედ პლანეტების რთულ ტრაექტორიებს. მისი თეორია ეფუძნებოდა იდეას, რომ დედამიწა იყო უძრავი, ხოლო ციური სხეულები მის გარშემო წრიულ ორბიტებზე მოძრაობდნენ. წრე ძველ ბერძნებში სრულყოფილების სიმბოლოდ ითვლებოდა და ბუნებრივად მიიჩნეოდა მოსაზრება, რომ ,,ზებუნებრივმა ძალებმა“ პლანეტებს სწორედ წრიული მარშრუტით სიარული განუსაზღვრეს
დედამიწიდან დაკვირვებისას პლანეტები ზოგჯერ თითქოს ჩერდებიან და უკან მოძრაობენ. ამ ხილულ ეფექტს „უკუსვლას“ ვუწოდებთ. სწორედ ეს მოვლენა იყო გეოცენტრული სისტემის ერთ-ერთი მთავარი გამოწვევა, რომლის ახსნასაც პტოლემე ეპიციკლების თეორიით ცდილობდა.
მეხუთე საუკუნეში ბერძენმა ფილოსოფოსებმა ფილოლაუსმა და ჰიცეტასმა ივარაუდეს, რომ დედამიწა იყო სფერო, რომელიც ყოველდღიურად ტრიალებს მისტიკური „ცენტრალური ცეცხლის“ გარშემო. ორი საუკუნის შემდეგ, არისტარქე სამოსელმა გამოთქვა მოსაზრება, რომ დედამიწა და სხვა პლანეტები მოძრაობდნენ ცენტრალური ობიექტის, მზის გარშემო. იმ ეპოქაში ამ იდეამ ვერ მოიპოვა მხარდაჭერა. დაახლოებით 1400 წლის შემდეგ გამოჩნდნენ მეცნიერები, რომლებიც ამტკიცებდნენ დედამიწისა და სხვა ციური სხეულების ბრუნვას მზის გარშემო.
მიუხედავად სირთულეებისა, გეოცენტრული მოდელი საუკუნეების განმავლობაში მტკიცედ იყო დამკვიდრებული. იგი არა მხოლოდ ასტრონომიული, არამედ სამყაროს ხედვის ფილოსოფიური შეხედულების ნაწილიც იყო – დედამიწა, როგორც განსაკუთრებული ადგილი, განიხილებოდა სამყაროს ცენტრად. ამ შეხედულებას ეჭვქვეშ თითქმის არავინ აყენებდა.
ჰელიოცენტრული სისტემა
XV საუკუნეში გაჩნდა იდეა, რომელმაც სამუდამოდ შეცვალა წარმოდგენა სამყაროზე. ნიკოლაუს კოპერნიკმა თქვა, რომ დედამიწა და სხვა პლანეტები ბრუნავენ მზის და საკუთარი ღერძის გარშემო. ამ წარმოდგენას ჩვეულებრივ უწოდებენ ჰელიოცენტრულ ან „მზეზე ორიენტირებულ“ სისტემას. ეს სახელწოდება მომდინარეობს ბერძნული სიტყვიდან „ჰელიოს“, რაც „მზეს“ ნიშნავს. კოპერნიკმა გაბედა ის, რაც საუკუნეების განმავლობაში წარმოუდგენლად მიიჩნეოდა. მან დედამიწა „სამყაროს ცენტრიდან“ „აქცია“ რიგით პლანეტად, რომელიც თავადაც მოძრაობდა, ხოლო სამყაროს შუაგულში მოიაზრა მზე.
კოპერნიკის თეორიასთან დაკავშირებით რამდენიმე პრობლემა მაინც არსებობდა. მან ივარაუდა, რომ პლანეტები იდეალურ წრეზე ბრუნავდნენ. ამან გამოთვლები ცოტათი გააფუჭა, რადგან ისინი სინამდვილეში ელიფსურ ორბიტაზე მოძრაობენ.
კოპერნიკის ჰელიოცენტრიზმს იცავდა იტალიელი ჯორდანო ბრუნო – კოპერნიკის თეორიის პირველი აღიარებული დამცველი და გამავრცელებელი, პოეტი და ფილოსოფოსი. იგი კოპერნიკის სასარგებლოდ პროპაგანდას ეწეოდა არა მარტო იტალიაში, არამედ ყველა ქვეყანაში, სადაც კი მოგზაურობდა – საფრანგეთში, ინგლისსა და გერმანიაში. კოპერნიკის მოძღვრებას ბრუნო ასე გადმოსცემს: ,,…კოპერნიკს უნდა ვუმადლოდეთ იმას, რომ მან გაგვათავისუფლა მცდარი რელიგიური დებულებებისაგან, რომლებიც ყველგან გაბატონებულ ვულგარულ დამაბრმავებელ ფილოსოფიაში სუფევდა. უნდა ვაღიაროთ, რომ უფრო დასაშვებია დედამიწის ფარდობითი მოძრაობა სამყაროში, ვიდრე ის, რომ უამრავი სხეული, რომელთაგან ბევრი დედამიწაზე უფრო დიდი და ლამაზია, მოძრაობს ჩვენი სფეროს, როგორც ცენტრის ირგვლივ. ეს ხომ ბუნებას და გონებას ეწინააღმდეგება“.
ჯორდანო ბრუნომ კიდევ მეტად განავითარა კოპერნიკის თეორია და უფრო შორს წავიდა – ეპიკურეს, ჰერაკლიტეს და ლუკრეციუსის მიბაძვით, რომლებიც სამყაროს დაუსრულებლობას და მარადიულ მოძრაობას აღიარებდნენ – დაუშვა, რომ მზე ერთ-ერთი ვარსკვლავთაგანია. ასეთი ვარსკვლავი სამყაროში უამრავია. სამყაროში არა მარტო დედამიწა, არამედ მზეც მტვრის ნაწილაკად უნდა მივიჩნიოთ. ამით ბრუნო შესანიშნავ დასკვნამდე მივიდა, რომ სამყარო უსასრულოა, იგი არ შექმნილა რომელიმე გარკვეული პერიოდის განმავლობაში, იგი არსებობდა და მარადიულად იარსებებს. ბრუნო იტალიაში 1600 წლის 17 თებერვალს საჯაროდ დაწვეს. ბრუნოს დაწვამ მსოფლიოს ნაწილი შეაშფოთა, მაგრამ ვერ შეაშინა. 1604 წელს, ისევ იტალიაში, გალილეო გალილეიმ დაიწყო ოფიციალური პროპაგანდა ჰელიოცენტრული სისტემის სასარგებლოდ.
ჯორდანო ბრუნო იყო არა მხოლოდ ასტრონომი, არამედ ფილოსოფოსი და თეოლოგი. მისი იდეები ბევრად უფრო რადიკალური იყო, ვიდრე უბრალოდ კოპერნიკის ჰელიოცენტრიზმის დაცვა. ახალი იდეების გამოთქმა მარტივი არასოდეს ყოფილა. ფილოსოფოსი ჯორდანო ბრუნო (1548–1600) ქადაგებდა, რომ სამყარო უსასრულოა, ვარსკვლავები სხვა მზეებია და შესაძლოა, მათ გარშემო პლანეტებზეც არსებობდეს სიცოცხლე. დღემდე ჯორდანო ბრუნო მიიჩნევა თავისუფალი აზრისა და მეცნიერული გამბედაობის სიმბოლოდ.
სამყაროს შესახებ ახალ შეხედულებებს ყველგან გამოუჩნდა მომხრეები: პოლონეთში იან ჰეველიუსი, ინგლისში – რობერტ ჰუკი, ჯონ ფლემსტიდი, ისააკ ნიუტონი და ჯეიმზ ბრადლეი, საფრანგეთში – ბერნარ ლე ბოვიე დე ფონტენელი, ნიდერლანდში – ქრისტენ ჰიუგენსი, რუსეთში – მიხეილ ლომონოსოვი, საქართველოში – დავით და იოანე ბაგრატიონები და სხვა.
ჰელიოცენტრული მოდელი ერთ შეხედვით უფრო მარტივი ჩანდა, მაგრამ ამ სიმარტივეს უდიდესი სიღრმე ჰქონდა. კოპერნიკის მოდელით, პლანეტების „უკუსვლაც“ ლოგიკურად გასაგები გახდა. კოპერნიკის ხედვით, პლანეტების აშკარა უკუქცევა ჩაითვალა ოპტიკურ ილუზიად, რომელიც გამოწვეულია დედამიწის ორბიტალური სიჩქარით, როდესაც ჩვენი პლანეტა უსწრებს მზის სისტემის გარე პლანეტებს, ისინი ცოტა ხნით თითქოს უკან მოძრაობენ, რადგან დედამიწაც მოძრაობს მზის გარშემო, ზოგჯერ პლანეტების ხილული მოძრაობა ცაზე მოჩვენებით „ბრუნავს უკან“. ამ მოსაზრებამ მნიშვნელოვნად გაამარტივა ციური სხეულების სურათი და უფრო თანმიმდევრული გახადა.
დიდი ხნის განმავლობაში კოპერნიკის თეორიას მხოლოდ თეორიული ახსნა ჰქონდა. ამ იდეის პრაქტიკული დასაბუთება შეძლო გალილეო გალილეიმ. მან ტელესკოპის დახმარებით, სამყაროს მოწყობის ახალი სურათი წარმოადგინა – იუპიტერის თანამგზავრები, რომლებიც აშკარად მოძრაობდნენ არა დედამიწის, არამედ სხვა პლანეტის გარშემო; ვენერას ფაზები, რომელიც მისი მზის გარშემო ბრუნვით აიხსნებოდა. ეს აღმოჩენები გეოცენტრული სისტემისთვის პირდაპირი დარტყმა იყო.
1633 წელს ინკვიზიციამ გალილეო გალილეი აიძულა და მან საჯაროდ უარყო ჰელიოცენტრული სწავლება. გადმოცემით, როდესაც იძულებულმა უარი თქვა კოპერნიკის თეორიაზე, ჩუმად, თითქოს თავისთვის ჩაილაპარაკა: „And yet it moves!“ – „ის მაინც ბრუნავს!“. ისტორიკოსები აღნიშნავენ, რომ ეს ფრაზა წყაროებში პირველად მხოლოდ გალილეის სიკვდილის შემდეგ, 1640-იან წლებში გაჩნდა. დიდი ალბათობით, ეს მითოსური სიტყვებია, მაგრამ კარგად გამოხატავს გალილეის სულიერ დაუმორჩილებლობას და მეცნიერის შეხედულებებს.
ჰელიოცენტრული მოდელი მხოლოდ ასტრონომიული შეხედულებების ცვლილება არ ყოფილა. მისი გახმოვანება იყო ნამდვილი ინტელექტუალური რევოლუცია – ადამიანი, რომელიც საუკუნეების განმავლობაში საკუთარ თავს სამყაროს ცენტრად მიიჩნევდა, აღმოჩნდა, რომ უბრალო პლანეტაზე ცხოვრობდა, რომელიც მზის გარშემო ბრუნავს. ეს ცვლილება არა მხოლოდ მეცნიერებას, არამედ ფილოსოფიასა და კულტურასაც შეეხო – სრულად შეიცვალა სამყაროს აღქმა.
გალილეის დაკვირვებებს დაემატა იოჰანეს კეპლერის სერიოზული მათემატიკური ანალიზი. მან დაამტკიცა, რომ პლანეტები არ მოძრაობენ სრულყოფილ წრეზე, არამედ ელიფსურ ორბიტებზე. ეს აღმოჩენა კიდევ უფრო ადვილად ხსნიდა დაკვირვებებს და საბოლოოდ ჰელიოცენტრულ სისტემას მყარ სამეცნიერო საფუძველს აძლევდა.
კეპლერმა 1596 წელს გამოაქვეყნა წიგნი – „სამყაროს საიდუმლოება“. ამ ნაშრომში ავტორმა სრულიად აშკარად დაიცვა ჰელიოცენტრული სისტემა. იოჰანეს კეპლერმა შეიმუშავა მზის სისტემის ჰელიოცენტრული მოდელი, რომლის თანახმადაც ყველა პლანეტა მოძრაობს საკუთარ ელიფსურ ორბიტაზე.
კეპლერისა და ნიუტონის კანონებმა დაადასტურა, რომ ჰელიოცენტრიზმი მზის სისტემის სწორი მოდელია. ორი საუკუნის შემდეგ, იოზეფ ფონ ფრაუნჰოფერმა მზის სპექტრი შეადარა სხვა ვარსკვლავების სპექტრს და დაამტკიცა, რომ მზეც არ არის განსაკუთრებულ ადგილას.
კეპლერის კანონები
კეპლერის პირველი კანონი:
მზის გარშემო თითოეული პლანეტის მოძრაობის ორბიტა ელიფსია. მზის ცენტრი ყოველთვის ორბიტალური ელიფსის ერთ ფოკუსშია. პლანეტის საკუთარ ორბიტაზე ბრუნვა ნიშნავს, რომ პლანეტასა და მზეს შორის მანძილი მუდმივად იცვლება.
კეპლერის მეორე კანონი:
მზიდან პლანეტისკენ გავლებული რადიუს-ვექტორი დროის ტოლ შუალედებში ტოლ ფართობებს ,,მოჭიმავს“. პლანეტები თავიანთ ორბიტებზე მუდმივი სიჩქარით არ მოძრაობენ. მათი სიჩქარე იცვლება ისე, რომ მზისა და პლანეტის ცენტრების დამაკავშირებელი ხაზი, თანაბარი დროის განმავლობაში, ფართობის თანაბარ ნაწილებს მოიცავს. პლანეტასა და მზეს შორის უახლოეს წერტილს პერიჰელიონი ეწოდება. უდიდესი დაშორების წერტილს აფელიონი, ამიტომ კეპლერის მეორე კანონის თანახმად, პლანეტა ყველაზე სწრაფად მოძრაობს პერიჰელიონში ყოფნისას და ყველაზე ნელა აფელიონში.
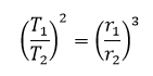
კეპლერის მესამე კანონი:
პლანეტების მზის ირგვლივ ბრუნვის პერიოდების კვადრატები ისე შეეფარდება ერთმანეთს, როგორც მათი ელიფსური ორბიტების დიდი ნახევარღერძების კუბები. კეპლერის მესამე კანონი გულისხმობს, რომ პლანეტის მზის გარშემო ბრუნვის პერიოდი სწრაფად იზრდება მისი ორბიტის რადიუსთან ერთად. ამრიგად, ჩვენ ვხვდებით, რომ მერკური, ყველაზე შიდა პლანეტა, მზის გარშემო ბრუნვას მხოლოდ 88 დღეს ანდომებს. დედამიწას 365 დღე, ხოლო სატურნს იმავეს გასაკეთებლად 10 759 ( 29 წელი 5 თვე 15 დღე) დღე სჭირდება.
კეპლერმა, როდესაც ეს სამი კანონი შექმნა, არ იცოდა გრავიტაციის შესახებ. მისმა კანონებმა მნიშვნელოვანი როლი ითამაშეს ისააკ ნიუტონის გრავიტაციის უნივერსალური თეორიის ჩამოყალიბებაში, რომელიც ხსნის კეპლერის მესამე კანონის უკან მდგომ უცნობ ძალას. კეპლერი და მისი თეორიები, როგორც ახალი შეხედულების საფუძვლები, გადამწყვეტი მნიშვნელობის იყო ჩვენი მზის სისტემის დინამიკის უკეთ გასაგებად და გასააზრებლად.
იოჰანეს კეპლერმა თავისი კანონებით ზუსტად აღწერა, როგორ მოძრაობენ პლანეტები ელიფსურ ორბიტებზე. ეს კანონები წმინდად ემპირიული იყო, ანუ დაკვირვებებზე დაფუძნებული. მათ საფუძვლად დაედო ასტრონომ ტიხო ბრაჰეს მიერ მრავალი წლის განმავლობაში შეგროვებული მონაცემები. მიუხედავად ამისა, კეპლერს არ შეეძლო აეხსნა, რატომ იცვლებოდა პლანეტების სიჩქარე და რა ფიზიკური ძალა აკავებდა მათ მზის გარშემო.
დაახლოებით 70 წლის შემდეგ, ისააკ ნიუტონმა, მსოფლიო მიზიდულობის კანონის ჩამოყალიბებისას, მათემატიკურ საფუძვლად სწორედ კეპლერის კანონები გამოიყენა. ნიუტონმა პირველმა დაამტკიცა, რომ გრავიტაცია უნივერსალური ძალაა და ის მოქმედებს სამყაროში არსებულ ყველა სხეულზე. ნიუტონის კანონის მიხედვით, ორი სხეული იზიდავს ერთმანეთს ძალით, რომელიც პირდაპირპროპორციულია მათი მასების ნამრავლისა და უკუპროპორციულია მათ შორის მანძილის კვადრატის.
ნიუტონის მსოფლიო მიზიდულობის კანონი სამართლიანია როგორც დედამიწაზე, ისე კოსმოსში. სწორედ ამ კანონის აღმოჩენის შემდეგ გახდა გასაგები, თუ რატომ ბრუნავენ პლანეტები მზის გარშემო და როგორ მოქმედებს გრავიტაცია მთელს სამყაროში.
კეპლერის კანონებმა და ნიუტონის უნიკალურმა აღმოჩენებმა შექმნეს ახალი მეცნიერული ხედვა, რომელმაც საბოლოოდ გაამყარა ჰელიოცენტრული სისტემის სისწორე და საფუძველი ჩაუყარა კლასიკურ ფიზიკას.
კეპლერის კანონებზე დაკვირვება შესაძლებელია ქვემოთ მოცემულ სიმულაციებში:
1851 წელს ჟან ბერნარ ლეონ ფუკომ პარიზის პანთეონში ჩაატარა ექსპერიმენტი, რომელიც დედამიწის ბრუნვის დასამტკიცებლად, ისტორიაში შევიდა როგორც ერთ-ერთი ყველაზე თვალსაჩინო ექსპერიმენტი.
ფუკოს ქანქარა წარმოადგენს 28კგ. რკინის ბურთს, რომელიც 67 მეტრის სიგრძის ფოლადის მავთულზეა ჩამოკიდებული. ფუკოს ქანქარის რხევის ტრაექტორია, პირველი დემონსტრირება იყო – მტკიცებულება დედამიწის საკუთარი ღერძის გარშემო ბრუნვის შესახებ, რაც ამყარებს შეხედულებას ჩვენი გალაქტიკის ჰელიოცენტრულ მოწყობაზე.
გეოცენტრულობის იდეა მხოლოდ ასტრონომიული თეორია არ ყოფილა – იგი ადამიანის მსოფლმხედველობის ფუნდამენტურ საფუძვლებს ეხებოდა. ეს მოდელი თითქოს ადასტურებდა, რომ კაცობრიობას განსაკუთრებული ადგილი ეკავა სამყაროში. სწორედ ამიტომ აღიქმებოდა კოპერნიკის იდეა ბევრისთვის საფრთხედ – „როგორ შეიძლება დედამიწა იყოს ჩვეულებრივი პლანეტა?“ – ეს კითხვა კულტურულ და სულიერ შოკად გადაიქცა. ადამიანი, რომელიც თავს სამყაროს ცენტრად მიიჩნევდა, აღმოჩნდა უსასრულო სივრცეში მცურავ პატარა პლანეტაზე. დაიწყო დისკომფორტისა და ინტელექტუალური გამბედაობის ეპოქა, რაც დაკვირვებასა და ლოგიკაზე დაფუძნებით მეცნიერების ჭეშმარიტი მიმართულებით განვითარებას გულისხმობდა. ჰელიოცენტრული მოდელი იქცა სამეცნიერო რევოლუციის ერთ-ერთ ბიძგად და აჩვენა, რომ რეალობა ყოველთვის არ ემთხვევა ჩვენს უშუალო აღქმებს.
დღევანდელი ასტრონომია გვთავაზობს მზის სისტემის ზუსტ სურათს – დედამიწა არის ერთ-ერთი პლანეტა, რომელიც მზის გარშემო ბრუნავს ელიფსურ ორბიტაზე, ხოლო მზე, ჩვენი გალაქტიკის გრავიტაციულ ცენტრს წარმოადგენს. მიუხედავად იმისა, რომ თანამედროვე მეცნიერებამ თვალსაჩინოდ ჩამოაყალიბა კოსმოსის მოწყობის მოდელი, ისტორიულმა შეხედულებებმა მაინც შეინარჩუნეს ფასეულობა. გეოცენტრულმა სისტემამ კაცობრიობას ასწავლა დაკვირვების, მოდელირებისა და პროგნოზირების მნიშვნელობა, ხოლო ჰელიოცენტრულმა დაგვანახა, რომ მეცნიერული სწავლება უნდა ემყარებოდეს მტკიცებულებას და შესაძლოა, რადიკალურად შეცვალოს ადამიანის წარმოდგენები სამყაროზე.
კაცობრიობის ხედვა კოსმოსზე საუკუნეების განმავლობაში თანმიმდევრულად იცვლებოდა – დედამიწიდან, როგორც თითქოსდა სამყაროს ცენტრიდან, ჩვენმა ცნობიერებამ გადაინაცვლა მზის გარშემო მოძრავი პლანეტის პერსპექტივაზე; შემდგომში გაირკვა, რომ მზე მხოლოდ ერთ-ერთი ვარსკვლავია გალაქტიკაში, ხოლო თავად გალაქტიკა, ერთ-ერთი – მილიარდობით სხვა გალაქტიკებს შორის.
თანამედროვე მეცნიერება სამყაროს განიხილავს, როგორც უამრავი გალაქტიკის ერთობლიობას, რომელიც მუდმივად მოძრაობს და ფართოვდება უსასრულო სივრცეში. მიუხედავად დაგროვილი ცოდნის ამ უზარმაზარი პროგრესისა, მთავარი შეკითხვა კვლავ ღიაა – როგორია სამყაროს საბოლოო სტრუქტურა და რა კანონებით იმართება მისი ევოლუცია.
სწავლა-სწავლების პროცესში, სამყაროს მოწყობის შესახებ ისტორიული შეხედულებები მრავალმხრივ დატვირთვას იძენს. იგი აჩვენებს, რომ შეცდომები და წინააღმდეგობები შემეცნების განვითარების ნაწილია, ხოლო მეცნიერული სიმართლე მიიღწევა კითხვებით, ეჭვებითა და დაკვირვებით. პტოლემეს, კოპერნიკის, გალილეოს, კეპლერის და ნიუტონის ნაშრომები გვახსენებს, რომ მეცნიერება ცოცხალი პროცესია, სადაც ყოველი თაობა ხელახლა სვამს ერთსა და იმავე შეკითხვას: „სად არის სამყაროს ცენტრი?“
გამოყენებული ლიტერატურა:








